Utilizarea voucherelor de vacanță continuă să înregistreze un declin și în luna august 2025
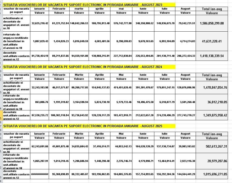
Conform datelor primite de la Ministerul Finanțelor, în primele 8 luni din 2025, numărul voucherelor de vacanță emise a fost cu 66 la sută mai mic comparativ cu intervalul similar din 2024, în timp ce numărul voucherelor decontate a scăzut cu 24,7 la sută.
Conform datelor primite de la Ministerul Finanțelor, în primele 8 luni din 2025, numărul voucherelor de vacanță emise a fost cu 66% mai mic comparativ cu intervalul similar din 2024, în timp ce numărul voucherelor decontate a scăzut cu 24,7%.
Diferența dintre cele două ritmuri de scădere se explică prin faptul că în circulație încă s-au regăsit vouchere emise în 2024, în valoare de 1.600 lei, ceea ce a atenuat temporar declinul la nivelul decontărilor. Pe măsură ce aceste tichete vor fi epuizate, în piață vor rămâne exclusiv voucherele de 800 lei, al căror volum este de asemenea în reducere.

Comparativ cu august 2024, în august 2025 s-au emis cu 66,7% mai puține vouchere, iar numărul celor decontate a fost cu 48% mai mic.
Diminuarea valorii și volumului voucherelor de vacanță slăbește unul dintre puținele mecanisme directe de sprijin pentru turismul intern, ceea ce expune industria ospitalității la presiuni suplimentare și la o scădere a atractivității pieței locale..
Atașat regăsiți un tabel realizat de BIBI Touroperator, cu valoarea exactă a voucherelor emise, returnate și decontate pentru primele 8 luni din ultimii 3 ani.




